Теплотехника
вернуться

Бурханова Наталья

Шрифт:

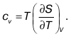
Рассмотрим химический потенциал реакции. В случае химических реакций масса реагирующих веществ не постоянна, ее можно определить в виде функции т (количество вещества) от основных параметров (v, p, T, F, S, Uи т. д). Продифференцируем равенство:

U = mu,

где u– удельное количество внутренней энергии, имеем:

dU = mdu + udm,

ф = u– ST+ pv = i– ST

j– химический потенциал.

Но, химическим потенциалом называется частная производная по массе, взятая от какого-либо термодинамического потенциала при определенных значениях аргумента. Химический потенциал показывает, как меняется энергия вещества, если его масса изменяется на единицу.

46. Основные дифференциальные уравнения термодинамики

Дифференциальные уравнения в термодинамике используются для исследования реальных газов, при теоретических (и практических) вычислениях.

Рассмотрим следующие случаи.

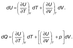
1. Независимыми переменными являются параметры p, V.

это первый закон термодинамики в дифференциальной форме.

2. Независимыми переменными являются параметры р, Т.

а полный дифференциал объема имеет вид:

3. Независимыми переменными являются параметры V, T.

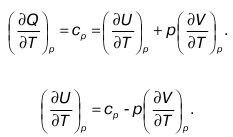
4. При p= const теплоемкость

при v = const теплоемкость

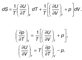
47. Частные производные по объему, давлению, температуре

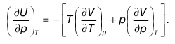
1. Частная производная по объему:

Это частная производная по объему, взятая от значения внутренней энергии. 2. Частная производная по давлению.

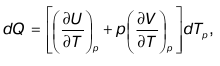
Подставим значение dQв отношение dS = dQ/ T, получаем:

Это частная производная по давлению, взятая от значения внутренней энергии. 3. Частная производная по температуре.

Это частная производная по температуре, взятая от значения внутренней энергии.

48. Уравнение неразрывности

Согласно газовой теории потока течение газа в случае стационарности определяется с помощью специальной системы уравнений. В нее входят следующие соотношения:

1) уравнение энергии для газового потока;

2) уравнение состояния;

3) уравнение для неразрывности газового потока.

Уравнение энергии следует из первого начала

термодинамики для газовых потоков.

Уравнением неразрывности называется соотношение:

Gv = Fw.

Из него следует, что в случае установившегося течения газа в каждом сечении потока расход газа по массе является постоянной величиной. Иначе это уравнение можно записать в виде:

G =pFw =p1F1w1 =P2F2w2 =const,

где r1,r2, r= 1/v плотность газа в поперечных сечениях;

F1, F2– площадь сечения потока;

w1, w2– скорость потока, измеряется в области сечения.

В данном случае имеется два сечения потока (1-е и 2-е), а величина Gиз этого уравнения называется массовым расходом газа (в секунду).

Как известно, второй закон Ньютона гласит: «Сила определяется произведением массы и ускорения». Если газовый поток имеет одномерный характер, то из второго закона следует:

  • Читать дальше
  • 1
  • ...
  • 18
  • 19
  • 20
  • 21
  • 22
  • 23
  • 24
  • 25
  • 26
  • 27

Private-Bookers - русскоязычная библиотека для чтения онлайн. Здесь удобно открывать книги с телефона и ПК, возвращаться к сохраненной странице и держать любимые произведения под рукой. Материалы добавляются пользователями; если считаете, что ваши права нарушены, воспользуйтесь формой обратной связи.

Полезные ссылки

  • Моя полка

Контакты

  • help@private-bookers.win