Теплотехника
вернуться

Бурханова Наталья

Шрифт:

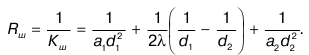
T1,Т2 – температуры внутренней и наружной стенок.

где DT = Тж1 – Тж2 – полный температурный напор;

Кш – коэффициент теплопередачи шаровой стенки (Вт/град).

Величина обратная Кш называется термическим сопротивлением теплопередачи шаровой стенки:

  • 1
  • ...
  • 22
  • 23
  • 24
  • 25
  • 26
  • 27

Private-Bookers - русскоязычная библиотека для чтения онлайн. Здесь удобно открывать книги с телефона и ПК, возвращаться к сохраненной странице и держать любимые произведения под рукой. Материалы добавляются пользователями; если считаете, что ваши права нарушены, воспользуйтесь формой обратной связи.

Полезные ссылки

  • Моя полка

Контакты

  • help@private-bookers.win