Теплотехника
вернуться

Бурханова Наталья

Шрифт:

Главным условием выбора размеров широкой части сопла Лаваля для истечения рабочего тела является безотрывность его от стенок насадки. Поэтому угол раствора конуса должен иметь предел в 12o, это помогает устранить существенные потери вследствие расширения газа (пара).

Рассмотрим процессы, происходящие при работе комбинированного сопла. В том случае, когда давление внешней среды po < pk,скорость и давление потока в узкой плоскости сопел являются критическими.

Конструкция сопла Лаваля позволяет для каждого отношения o < po/p1 < b получить полное расширение вещества в границах значения давлений [po, pi]. При этом в выходном сечении сопла энергия не теряется, а при выравнивании давления рабочего тела и внешней среды скорость потока становится сверхзвуковой, что необходимо для применения сопла на практике. В таком случае массовый расход становится максимальным, его величина зависит от площади наименьшего сечения сопла (Smin).

В узкой части сопла (называемой горловиной) устанавливаются критические значения параметров Vk,Tk, pk, wk= wзв, Gmax.(где Wзв– местная скорость звука). Движение потока по расширяющейся части характеризуется тем, что газ расширяется далее в границах [ p2k, p1], повышается скорость в интервале [wk = Wзв, w > wk] (т. е. до значений w > Wзв), что ведет к уменьшению давления, но при этом удельный объем увеличивается (т. е. v >vk , p< pk).

Расширяющаяся часть насадки может выполнять функцию диффузора, если в узкой плоскости w < wзв (для po / p1> bk).

55. Дросселирование газа и уравнение процесса

Для водяного пара критическая температура составляет Тк = 647 К, соответственно, Тинв > 4400 К (температура инверсии). В процессе дросселирования всегда происходит охлаждение водяного пара, это связано с полной диссоциацией молекул пара при таких не очень высоких значениях данной температуры инверсии.

Дросселирование водяного пара характеризуется следующими свойствами, полученными из анализа диаграммы (i, s):

1) для любого состояния пара дросселирование всегда понижает температуру водяного пара;

2) дросселирование влажных паров при небольших давлениях сопровождается переходом из увлажненного в сухое, а затем в перегретое состояние. Влажные пары при высокихдавленияхсначала еще более увлажняются, но потом такжеобразуют сухую и перегретую фазу;

3) дросселирование перегретых паров при больших давлениях (если температура перегрева невелика) сопровождается прохождением ими несколькихфаз (сухого насыщенного, влажного, сухого и наконец, перегретого). Последнее состояние пара характеризуется низкими значениями температуры и давления. В общем случае при дросселировании перегретые пары сохраняют свое перегретое состояние, если в начале процесса их давления были высокими.

Обычно на is-диаграмме процесс дросселирования i1 = i2 представляет собой горизонтальную линию, направленную в сторону возрастания энтропии (вследствие необратимости процесса).

Известно, что давление перегретого пара (и его полезная работа) в процессе мятия снижается.

аад < aдрос, где адрос – температурный эффект адиабатного необратимого расширения (т. е. дросселирования), а аад– эффект адиабатного обратимого расширения. Отсюда при одном давлении dp имеем:

dTдрос < dTад на величину v/cp.

56. Передача теплоты через шаровую стенку

Пусть имеется полый шар с внутренним и внешним радиусами соответственно г1 и г2 коэффициент теплопроводности I которого постоянен. При заданных граничных условиях третьего рода будут также определены коэффициенты теплоотдачи на поверхностях шара a1 и a2 и температуры внутренней и внешней сред соответственно Tж1 и Tж2. Коэффициенты a1,a2 будут постоянными во времени, а температуры Tж1,Tж2 – постоянными и во времени, и по поверхностям.

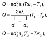
При стационарном режиме теплопередачи полный тепловой поток Q, переданный через однородную сферическую стенку от горячей среды к холодной, будет постоянным для всех изотермических поверхностей и может быть определен тремя уравнениями.

где d1,d2 – внутренний и наружный диаметры шара;

a1,a2 коэффициенты теплоотдачи от горячей среды к стенке и от стенки к холодной среде;

I– коэффициент теплопроводности материала стенки;

  • Читать дальше
  • 1
  • ...
  • 21
  • 22
  • 23
  • 24
  • 25
  • 26
  • 27

Private-Bookers - русскоязычная библиотека для чтения онлайн. Здесь удобно открывать книги с телефона и ПК, возвращаться к сохраненной странице и держать любимые произведения под рукой. Материалы добавляются пользователями; если считаете, что ваши права нарушены, воспользуйтесь формой обратной связи.

Полезные ссылки

  • Моя полка

Контакты

  • help@private-bookers.win