Теплотехника
вернуться

Бурханова Наталья

Шрифт:

Тогда:

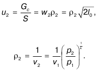
Массовой скоростью перемещения потока называется отношение:

где Gc– секундный расход пара (газа);

S – площадь сечения потока;

r– плотность рабочего тела.

52. Истечение капельной жидкости. Массовый расход

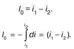
Располагаемая работа для любого вещества, являющегося рабочим телом, определяется по формуле:

I0 = q + (i1 – i2).

Если течение адиабатное (при q = 0)

где i– энтальпия (Дж/кг);

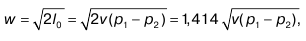
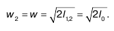
W2 = w– скорость истечения (м/с).

Величину Di = i1 – i2, равную разности энтальпий, называют теплопадением газа (пара).

а для капельной жидкости справедливо равенство:

где w– скорость истечения жидкости из сопла.

Массовым расходом называется количество вещества, которое за секунду вытекает через насадки. Оно равно отношению секундного объема истечения вещества (газа) У2 к удельному объемутого же вещества соответствующего давлению p2:

массовый расход (его также определяют из уравнения неразрывности: Gv = Sw).

53. Критическая скорость

Анализ формулы для скорости истечения показывает, что при уменьшении значения p2/p1 увеличивается скорость потока. Это возможно, например, если pi = const, а давление p2 уменьшается.

Из опытов известно, что уменьшение давления на выходе суживающегося сопла (или сопла постоянного сечения) p2 может осуществляться лишь до некоторого предельного значения, так называемого критического давления (pкритич). При этом критическим отношением давлений называется величина b= pкритич/p1, отсюда Pк = bp1

В результате уменьшения давления p0 (внешней среды) при p1= const возможны два случая:

1) po >= Pк, т. е. пока давление po уменьшается до критического значения, соблюдается равенство p2= po где p2 – давление вещества на выходе суживающегося сопла, po – давление внешней среды;

2) po < Pк, т. е. дальнейшее падение давления po среды ниже критического значения определяется равенством p2 = pk,причем давление p2 вытекающего вещества является постоянным (p2= const).

Таким образом, явление, при котором в устье насадки давление постоянно и не понижается, называется запиранием сопла. Поэтому такое давление на выходе сопла, которое невозможно понизить путем уменьшения давления внешней среды, в которую осуществляется истечение рабочего тела, называют критическим(P2к).

Независимо от падения давления внешней среды po в устье суживающегося сопла при bk устанавливается давление P2к=const, которому соответствует Gmax = const (массовый расход), wk = const (скорость истечения), Tk = const (температура), и v2k = const (удельный объем), т. е. постоянство всех параметров на выходе сопла (так называемые выходные параметры).

В полученных формулах a, Y – коэффициенты, определяемые только величиной k(показателем адиабаты), их значения находят из специальных таблиц.

По определению критической скоростью называется наибольшая скорость вещества при его истечении из сопла, не превышающая скорость звука, т. е. wk =a, где а – так называемая местная скорость звука.

Полученная формула называется уравнением Лапласа.

54. Истечение идеального газа через комбинированное сопло Лаваля

Сопла Лаваля используются для создания закрити-ческого процесса истечения рабочего тела, условием которого служит po/p1 < bk В нем выделяют три основные области.

1. Суживающаяся короткая часть, в которой скорость потока дозвуковая.

2. Узкое сечение, в котором вещество движется со скоростью звука.

3. Расширяющаяся конусообразная насадка (сверхзвуковая скорость потока).

  • Читать дальше
  • 1
  • ...
  • 20
  • 21
  • 22
  • 23
  • 24
  • 25
  • 26
  • 27

Private-Bookers - русскоязычная библиотека для чтения онлайн. Здесь удобно открывать книги с телефона и ПК, возвращаться к сохраненной странице и держать любимые произведения под рукой. Материалы добавляются пользователями; если считаете, что ваши права нарушены, воспользуйтесь формой обратной связи.

Полезные ссылки

  • Моя полка

Контакты

  • help@private-bookers.win