Теплотехника
вернуться

Бурханова Наталья

Шрифт:

Основу второго начала термодинамики составляют постулаты. Первый постулат немецкого ученого Р. Клау-зиуса (1850 г.) представляет общую формулировку второго закона в таком виде: «От одного тела (менее нагретого) к другому (более нагретому) теплота не переходит самопроизвольно, а только с помощью компенсации». Другой постулат (лорда Кельвина-Томсона, 1852 г.) гласит, что невозможно создать тепловую машину – вечный двигатель второго рода (в котором теплота полностью переходит в работу). Отсюда следует, чтотепловой двигатель будет выполнять работу только при наличии не менее двух источников тепла с различными температурами. Причем только часть всей теплоты, выделенной теплоотдатчиком (источник теплоты, имеющий высокую температуру), возможно превратить в полезную работу. Остальное тепло отводится к теплоприемнику.

На практике самопроизвольные процессы (переход тепла от горячих к холодным телам, диффузии, явления растворения и многие другие) являются необратимыми. Поэтому существует еще одна формулировка второго закона термодинамики: «Если реальный процесс является самопроизвольным, то он необратим».

35. Термодинамический КПД и холодильный коэффициент циклов

Источники, имеющие высокую температуру (Т1) и отдающие теплоту рабочему телу, называются теплоот-датчиками. Источники, имеющие низкую температуру (Т2) и получающие теплоту от рабочего вещества, называются теплоприемниками.

На РУ-диаграмме полезная работа кругового процесса равна площади, образованной кривыми прямого и обратного хода процесса и заключенной внутри цикла. Если на графике линия расширения расположена над линией сжатия, направление цикла происходит по часовой стрелке и произведенная в процессе работа потребляется внешними устройствами, такой цикл является прямым. Если на диаграмме линия сжатия расположена выше линии расширения, направление цикла происходит против часовой стрелки и работа совершается с помощью внешнего источника, такой цикл является обратным.

Полезную работу двигателя возможно получить только в случае, когда работа расширения больше работы по сжатию. Преобразование теплоты в механическую работу является несамопроизвольным процессом и обязательно должно сопровождаться компенсацией.

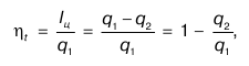
Тепловые устройства считаются идеальными, если в них нет потерь. Цикл также считается идеальным, если образован только обратимыми явлениями. В тепловых двигателях оценку экономичности идеального прямого цикла называют термическим коэффициентом полезного действия. Он равен отношению теплоты, которая преобразовалась в ходе цикла в работу, ко всей подведенной теплоте и обозначается ht(«эта», греческая буква):

где 1ц – полезная работа;

q1 – подведенная теплота;

q2 – отведенная теплота. Внешняя работа при обратном цикле равна:

1ц = q1 – q2,

где q1– отведенная теплота к горячему источнику;

q2 – отведенная теплота от холодного источника.

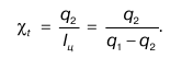
Для обратного идеального цикла существует термин холодильного КПД, который обозначается t:

Можно сформулировать второй закон термодинамики таким образом: «В тепловом двигателе преобразование теплоты в механическую работу на 100% невозможно».

36. Обратный и обратимый цикл Карно

В термодинамических исследованиях практическое применение получило не только прямое, но и обратное направление цикла Карно. Отличие обратного цикла заключается в том, что теплота отводится от источника с низкой температурой и отдается источнику с высокой температурой. Такой цикл является идеальным для холодильных агрегатов.

Рабочее тело, участвующее в обратном цикле, называется холодильным агентом. При адиабатическом расширении температура снижается от значения 71 до величины Тт После этого при получении теплоты Я2 от холодного источника (Т2) газ изотермически сжимается. В следующем процессе происходит адиабатическое сжатие, и температура рабочего тела повышается от значения Т2 до величины Т1. При изотермическом сжатии теплота q1 отнимается от рабочего вещества и переходит к горячему источнику.

Холодильная машина работает по обратному циклу, на создание которого тратится удельное количество работы (I). В этом случае от холодного к горячему источнику передается q2 (количество теплоты), а горячий источник еще получает теплоту, численно равную произведенной работе I. Таким образом, полное количество теплоты, отведенное к горячему источнику, равно:

q1 = q2 + 1

Работа в процессе расширения положительна, а работа в процессе сжатия отрицательна. Полная работа, необходимая для передачи теплоты от холодного к горячему источнику, равна:

  • Читать дальше
  • 1
  • ...
  • 13
  • 14
  • 15
  • 16
  • 17
  • 18
  • 19
  • 20
  • 21
  • 22
  • 23
  • ...

Private-Bookers - русскоязычная библиотека для чтения онлайн. Здесь удобно открывать книги с телефона и ПК, возвращаться к сохраненной странице и держать любимые произведения под рукой. Материалы добавляются пользователями; если считаете, что ваши права нарушены, воспользуйтесь формой обратной связи.

Полезные ссылки

  • Моя полка

Контакты

  • help@private-bookers.win