Компьютерные сети. 6-е изд.
вернуться

Д. Таненбаум Э. С., Фимстер Н. , Уэзеролл

Шрифт:

В качестве содержимого спецификации потока рассмотрим пример на илл. 5.30. Он основан на RFC 2210 и RFC 2211 для комплексного обслуживания — технологии QoS, о которой мы поговорим в следующем разделе. В специ­фикации содержится пять параметров. Первые два, скорость маркерного ведра и размер маркерного ведра, позволяют вычислить максимальную скорость, которую источник может поддерживать в течение долгого времени, усредненную по большому временному отрезку, а также максимальный объем пачки, передаваемой за короткий промежуток времени.

Параметр

Единицы измерения

Скорость маркерного ведра

байт/с

Размер маркерного ведра

байт

Пиковая скорость передачи данных

байт/с

Минимальный размер пакета

байт

Максимальный размер пакета

байт

Илл. 5.30. Пример спецификации потока

Третий параметр, пиковая скорость передачи данных, — это максимальная допустимая скорость (даже для коротких временных интервалов). Отправитель ни в коем случае не должен превышать это значение.

Наконец, последние два параметра определяют минимальный и максимальный размеры пакетов, включая заголовки транспортного и сетевого уровней (например, TCP и IP). Минимальный размер удобен, поскольку обработка каждого пакета занимает фиксированное время, пусть даже небольшое. Возможно, маршрутизатор готов принимать 10 000 килобайтных пакетов в секунду, но не готов обрабатывать 100 000 50-байтных пакетов в секунду, хотя во втором случае скорость передачи меньше. Максимальный размер пакета не менее важен, но уже по другой причине. Дело в том, что существуют определенные внутрисетевые ограничения, которые нельзя превышать. Например, если путь потока лежит через Ethernet, то максимальный размер пакета будет ограничен 1500 байтами, независимо от того, пакеты какого размера поддерживаются другими участками сети.

Каким образом маршрутизатор преобразует спецификацию потока в набор определенных резервируемых ресурсов? На первый взгляд может показаться, что если один из каналов маршрутизатора работает со скоростью 1 Гбит/с, а средний размер пакета равен 1000 бит, он может обрабатывать 1 млн пакетов в секунду. Но это не так, поскольку из-за статистического джиттера нагрузки передача будет периодически останавливаться на некоторое время. Если для выполнения всей работы канал должен использовать всю емкость, перерыв длиной в несколько секунд станет причиной завала, который невозможно разгрести.

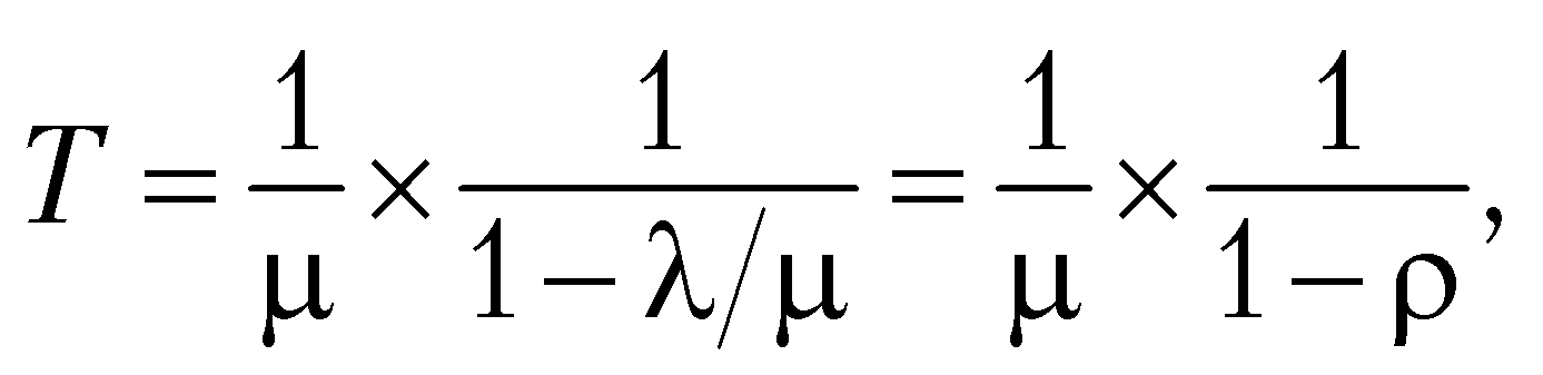
Однако даже если нагрузка несколько меньше теоретической емкости, все равно могут образовываться очереди и возникать задержки. Рассмотрим ситуацию, в которой пакеты приходят нерегулярно со средней скоростью ? пакетов/c. Они имеют случайную длину и могут передаваться по каналу со средней скоростью обслуживания ? пакетов/c. Предположим, что обе скорости имеют пуассоновское распределение (такие системы называются системами массового обслуживания M/M/1, где «M» означает «марковский процесс», который в данном случае является еще и пуассоновским). Тогда, используя теорию массового обслуживания, можно доказать, что средняя задержка T, присущая пакету, равна

где ? = ?/? — коэффициент использования CPU. Первый сомножитель 1/? — это задержка при отсутствии конкуренции. Второй — дополнительная задержка, возникающая из-за конкуренции с другими потоками. Например, если ? = 950 000 пакетов/с, а ? = 1 000 000 пакетов/с, тогда ? = 0,95 и средняя задержка каждого пакета составляет 20 мкс вместо 1 мкс. Эти подсчеты учитывают и задержку доставки, и задержку обработки: при малом трафике отношение ?/? ? 0. Если на пути потока стоят, скажем, 30 маршрутизаторов, то одна только задержка обслуживания составит 600 мкс.

Один из методов соотнесения характеристик потока и ресурсов маршрутизатора, необходимых для выполнения гарантий пропускной способности и времени задержки, был предложен Парехом и Галлагером (Parekh and Gallager, 1993; 1994). Отправитель формирует трафик с помощью маркерных ведер (R, B), а маршрутизаторы используют WFQ. Каждому потоку присваивается вес W, достаточный для того, чтобы опустошить маркерное ведро со скоростью R (илл. 5.31). Если, например, скорость потока составляет 1 Мбит/с, а мощности маршрутизатора и исходящей связи равны 1 Гбит/с, вес потока должен превышать одну тысячную от общей суммы весов всех потоков этого маршрутизатора для исходящей связи. Это обеспечит потоку минимальную пропускную способность. Если поток не может получить необходимую ему скорость, он не будет допущен в сеть.

Илл. 5.31. Гарантии пропускной способности и задержки с использованием маркерных ведер и WFQ

Самая большая задержка в очереди для данного потока — это функция максимальной емкости маркерного ведра. Рассмотрим два крайних случая. При равномерном трафике пакеты проходят через маршрутизатор с той же скоростью, с какой прибывают. При этом не происходит никаких задержек (не считая эффектов пакетирования). С другой стороны, если трафик передается пачками, то пачка максимального размера B может прийти на маршрутизатор полностью. Тогда максимальная задержка D будет равна времени прохождения пакета через маршрутизатор при фиксированной пропускной способности, или B/R (опять же, не считая эффектов пакетирования). Если этот показатель слишком высокий, поток может запросить б?ольшую пропускную способность.

  • Читать дальше
  • 1
  • ...
  • 182
  • 183
  • 184
  • 185
  • 186
  • 187
  • 188
  • 189
  • 190
  • 191
  • 192
  • ...

Private-Bookers - русскоязычная библиотека для чтения онлайн. Здесь удобно открывать книги с телефона и ПК, возвращаться к сохраненной странице и держать любимые произведения под рукой. Материалы добавляются пользователями; если считаете, что ваши права нарушены, воспользуйтесь формой обратной связи.

Полезные ссылки

  • Моя полка

Контакты

  • help@private-bookers.win