Гидравлика
вернуться

Бабаев Маариф Арзулла

Шрифт:

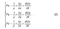
Получили уравнение движения параллелепипеда с dV1 по направлению оси Х.

Делим (1) на массу dxdydz:

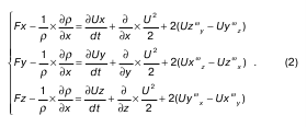
Полученная система уравнений (2) есть искомое уравнение движения невязкой жидкости – уравнение Эйлера.

К трем уравнениям (2) добавляются еще два уравнения, поскольку неизвестных пять, и решается система из пяти уравнений с пятью неизвестными: одним из двух дополнительных уравнений является уравнение неразрывности. Еще одним уравнением является уравнение состояния. Например, для несжимаемой жидкости уравнением состояния может быть условие = const.

Уравнение состояния должно быть выбрано таким образом, чтобы оно содержало хотя бы одно из пяти неизвестных.

23. Уравнение Эйлера для разных состояний

Уравнение Эйлера для разных состояний имеет разные формы записи. Поскольку само уравнение получено для общего случая, то рассмотрим несколько случаев:

1) движение неустановившееся.

2) жидкость в покое. Следовательно, Ux = Uy = Uz = 0.

В таком случае уравнение Эйлера превращается в уравнение равномерной жидкости. Это уравнение также дифференциальное и является системой из трех уравнений;

3) жидкость невязкая. Для такой жидкости уравнение движения имеет вид

где Fl – проекция плотности распределения сил массы на направление, по которому направлена касательная к линии тока;

dU/dt – ускорение частицы

Подставив U = dl/dt в (2) и учтя, что (U/l)U = 1/2(U2/l), получим уравнение.

Мы привели три формы уравнения Эйлера для трех частных случаев. Но это не предел. Главное – правильно определить уравнение состояния, которое содержало хотя бы один неизвестный параметр.

Уравнение Эйлера в сочетании с уравнением неразрывности может быть применено для любого случая.

Уравнение состояния в общем виде:

Таким образом, для решения многих гидродинамических задач оказывается достаточно уравнения Эйлера, уравнения неразрывности и уравнения состояния.

С помощью пяти уравнений легко находятся пять неизвестных: p, Ux, Uy, Uz, .

Невязкую жидкость можно описать и другим уравнением

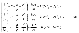
24. Форма Громеки уравнения движения невязкой жидкости

Уравнения Громеки – попросту другая, несколько преобразованная форма записи уравнения Эйлера.

Например, для координаты x

Чтобы его преобразовать, используют уравнения компонентов угловой скорости для вихревого движения.

Преобразовав точно так же y-вую и z-вую компоненту, окончательно приходим к форме Громеко уравнения Эйлера

Уравнение Эйлера было получено российским ученым Л. Эйлером в 1755 г., и преобразовано в вид (2) опять же российским ученым И. С. Громекой в 1881 г

Уравнение Громеко (под воздействием массовых сил на жидкость):

Поскольку

– dП = Fxdx + Fydy + Fzdz, (4)

то для компонентов Fy, Fz можно вывести те же выражения, что и для Fx, и, подставив это в (2), прийти к (3).

25. Уравнение Бернулли

Уравнение Громеки подходит для описания движения жидкости, если компоненты функции движения содержат какуююто вихревую величину. Например, эта вихревая величина содержится в компонентах x, y,z угловой скорости w.

Условием того, что движение является установившимся, является отсутствие ускорения, то есть условие равенства нулю частных производных от всех компонентов скорости:

Если теперь сложить

то получим

Если проецировать перемещение на бесконечно малую величину dl на координатные оси, то получим:

dx = Uxdt; dy = Uy dt; dz = Uzdt. (3)

Теперь помножим каждое уравнение (3) соответственно на dx, dy, dz, и сложим их:

Предположив, что правая часть равна нулю, а это возможно, если вторая или третья строки равны нулю, получим:

<
  • Читать дальше
  • 1
  • ...
  • 6
  • 7
  • 8
  • 9
  • 10
  • 11
  • 12
  • 13
  • 14
  • 15
  • 16
  • ...

Private-Bookers - русскоязычная библиотека для чтения онлайн. Здесь удобно открывать книги с телефона и ПК, возвращаться к сохраненной странице и держать любимые произведения под рукой. Материалы добавляются пользователями; если считаете, что ваши права нарушены, воспользуйтесь формой обратной связи.

Полезные ссылки

  • Моя полка

Контакты

  • help@private-bookers.win