Гидравлика
вернуться

Бабаев Маариф Арзулла

Шрифт:

15. Основные понятия, используемые в кинематике жидкости

Сутью вышеупомянутого поля скоростей являются векторные линии, которые часто называют линиями тока.

Линия тока – такая кривая линия, для любой точки которой в выбранный момент времени вектор местной скорости направлен по касательной (о нормальной составляющей скорости речь не идет, поскольку она равна нулю).

Формула (1) является дифференциальным уравнением линии тока в момент времени t. Следовательно, задав различные ti по полученным i, где i = 1,2, 3, …, можно построить линию тока: ею будет огибающая ломаной линии, состоящей из i.

Линии тока, как правило, не пересекаются в силу условия /= 0 или /= . Но все же, если эти условия нарушаются, то линии тока пересекаются: точку пересечения называют особой (или критической).

1. Неустановившееся движение, которое так называется иззза того, что местные скорости в рассматриваемых точках выбранной области по времени изменяются. Такое движение полностью описывается системой уравнений.

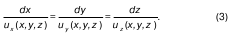
2. Установившееся движение: поскольку при таком движении местные скорости не зависят от времени и постоянны:

ux = ux(x,y,z)

uy = uy(x,y,z)

uz = uz(x,y,z)

Линии тока и траектории частиц совпадают, а дифференциальное уравнение для линии тока имеет вид:

Совокупность всех линий тока, которые проходят через каждую точку контура потока, образует поверхность, которую называют трубкой тока. Внутри этой трубки движется заключенная в ней жидкость, которую называют струйкой.

Струйка считается элементарной, если рассматриваемый контур бесконечно мал, и конечной, если контур имеет конечную площадку.

Сечение струйки, которое нормально в каждой своей точке к линиям тока, называется живым сечением струйки. В зависимости от конечности или бесконечной малости, площадь струйки принято обозначать, соответственно, и d.

Некоторый объем жидкости, который проходит через живое сечение в единицу времени, называют расходом струйки Q.

16. Вихревое движение

Особенности видов движения, рассматриваемых в гидродинамике.

Можно выделить следующие виды движения.

Неустановившееся, по поведению скорости, давления, температуры и т. д.; установившееся, по тем же параметрам; неравномерное, в зависимости от поведения тех же параметров в живом сечении с площадью; равномерное, по тем же признакам; напорное, когда движение происходит под давлением p > pатм, (например, в трубопроводах); безнапорное, когда движение жидкости происходит только под действием силы тяжести.

Однако основными видами движения, несмотря на большое количество их разновидностей, являются вихревое и ламинарное движения.

Движение, при котором частицы жидкости вращаются вокруг мгновенных осей, проходящих через их полюсы, называют вихревым движением.

Это движение жидкой частицы характеризуется угловой скоростью, компонентами (составляющими), которой являются:

Вектор самой угловой скорости всегда перпендикулярен плоскости, в которой происходит вращение.

Если определить модуль угловой скорости, то

Удвоив проекции на соответствующие координаты оси x, y, z, получим компоненты вектора вихря

= 2.

Совокупность векторов вихря называется векторным полем.

По аналогии с полем скоростей и линией тока, существует и вихревая линия, которая характеризует векторное поле.

Это такая линия, у которой для каждой точки вектор угловой скорости сонаправлен с касательной к этой линии.

Линия описывается следующим дифференциальным уравнением:

в котором время t рассматривается как параметр.

Вихревые линии во многом ведут себя так же, как и линии тока.

Вихревое движение называют также турбулентным.

17. Ламинарное движение

Это движение, называют также потенциальным (безвихревым) движением.

При таком движении отсутствует вращение частиц вокруг мгновенных осей, которые проходят через полюсы жидких частиц. По этой причине:

x = 0; y = 0; z = 0. (1)

x = y = z = 0.

Выше отмечалось, что при движении жидкости происходит не только изменение положения частиц в пространстве, но и их деформация по линейным параметрам. Если рассмотренное выше вихревое движение является следствием изменения пространственного положения жидкой частицы, то ламинарное (потенциальное, или безвихревое) движение является следствием деформационных явлений линейных параметров, например, формы и объема.

  • Читать дальше
  • 1
  • ...
  • 3
  • 4
  • 5
  • 6
  • 7
  • 8
  • 9
  • 10
  • 11
  • 12
  • 13
  • ...

Private-Bookers - русскоязычная библиотека для чтения онлайн. Здесь удобно открывать книги с телефона и ПК, возвращаться к сохраненной странице и держать любимые произведения под рукой. Материалы добавляются пользователями; если считаете, что ваши права нарушены, воспользуйтесь формой обратной связи.

Полезные ссылки

  • Моя полка

Контакты

  • help@private-bookers.win