Гидравлика
вернуться

Бабаев Маариф Арзулла

Шрифт:

Степень потери напора hпр по длине называют гидравлическим уклоном J. Если потеря напора hпр происходит равномерно, то

Числитель в формуле (3) можно рассматривать как приращение напора dH на длине dl.

Поэтому в общем случае

Знак минус перед dH/dl – потому, что изменение напора по его течению отрицательно.

Если рассмотреть изменение пьезометрического напора Z + p/g, то величину (4) называют пьезометрическим уклоном.

Напорная линия, она же линия удельной энергии, находится выше пьезометрической линии на высоту u2/2g: здесь то же самое, но только разница между этими линиями теперь равна x2/2g. Эта разница сохраняется также при безнапорном движении. Только в этом случае пьезометрическая линия совпадает со свободной поверхностью потока.

35. Уравнение Бернулли для неустановившегося движения вязкой жидкости

Для того, чтобы получить уравнение Бернулли, придется определить его для элементарной струйки при неустановившемся движении вязкой жидкости, а затем распространять его на весь поток

Прежде всего, вспомним основное отличие неустановившегося движения от установившегося. Если в первом случае в любой точке потока местные скорости изменяются по времени, то во втором случае таких изменений нет.

Приводим уравнение Бернулли для элементарной струйки без вывода:

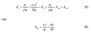
здесь учтено, что = Q; Q = m; m = (КД).

Так же, как и в случае с удельной кинетической энергией, считать (КД) не таккто просто. Чтобы считать, нужно связать его с (КД). Для этого служит коэффициент количества движения

Коэффициент a' принято называть еще и коэффициентом Бусинеска. С учетом a', средний инерционный напор по живому сечению

Окончательно уравнение Бернулли для потока, получение которого и являлось задачей рассматриваемого вопроса имеет следующий вид:

Что касается (5), то оно получено из (4) с учетом того, что dQ = wdu; подставив dQ в (4) и сократив , приходим к (6).

Отличие hин от hпр прежде всего в том, что оно не является необратимым. Если движение жидкости с ускорением, что значит d/t > 0, то hин > 0. Если движение замедленное, то есть du/t < 0, то hин < 0.

Уравнение (5) связывает параметры потока только в данный момент времени. Для другого момента оно может уже оказаться не достоверным.

36. Ламинарный и турбулентный режимы движения жидкости. Число Рейнольдса

Как нетрудно было убедиться в вышеприведенном опыте, если фиксировать две скорости в прямом и обратном переходах движения в режимы ламинарное -> турбулентное, то

1 /= 2

где 1 – скорость, при которой начинается переход из ламинарного в турбулентный режим;

2 – то же самое при обратном переходе.

Как правило, 2 < 1. Это можно понять из определения основных видов движения.

Ламинарным (от лат. lamina – слой) считается такое движение, когда в жидкости нет перемешивания частиц жидкости; такие изменения в дальнейшем будем называть пульсациями.

Движение жидкости турбулентное (от лат. turbulentus – беспорядочный), если пульсация местных скоростей приводит к перемешиванию жидкости.

Скорости перехода 1, 2 называют:

1– верхней критической скоростью и обозначают как в. кр, это скорость, при которой ламинарное движение переходит в турбулентное;

2– нижней критической скоростью и обозначают как н. кр, при этой скорости происходит обратный переход от турбулентного к ламинарному.

Значение в. кр зависит от внешних условий (термодинамические параметры, механические условия), а значения н. кр не зависят от внешних условий и постоянны.

Эмпирическим путем установлено, что:

где V – кинематическая вязкость жидкости;

d – диаметр трубы;

R– коэффициент пропорциональности.

В честь исследователя вопросов гидродинамики вообще и данного вопроса в частности, коэффициент, соответствующий uн. кр, называется критическим числом Рейнольдса Reкр.

Если изменить V и d, то Reкр не изменяется и остается постоянным.

Если Re< Reкр, то режим движения жидкости ламинарный, поскольку < кр; если Re > Reкр, то режим движения турбулентный из-за того, что > кр.

  • Читать дальше
  • 1
  • ...
  • 10
  • 11
  • 12
  • 13
  • 14
  • 15
  • 16
  • 17
  • 18
  • 19
  • 20
  • ...

Private-Bookers - русскоязычная библиотека для чтения онлайн. Здесь удобно открывать книги с телефона и ПК, возвращаться к сохраненной странице и держать любимые произведения под рукой. Материалы добавляются пользователями; если считаете, что ваши права нарушены, воспользуйтесь формой обратной связи.

Полезные ссылки

  • Моя полка

Контакты

  • help@private-bookers.win