Компьютерные сети. 6-е изд.
вернуться

Д. Таненбаум Э. С., Фимстер Н. , Уэзеролл

Шрифт:

Сигналы с ограниченным диапазоном частот

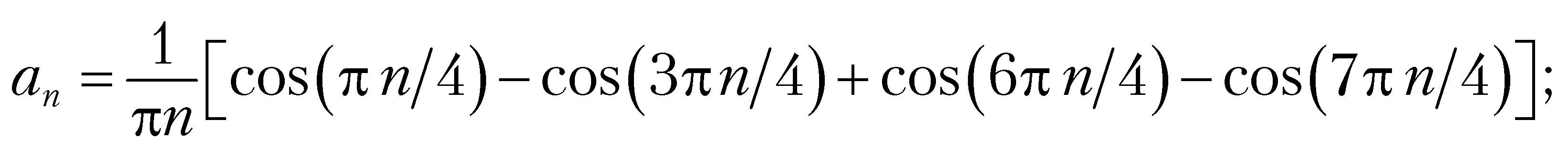
Гармонический анализ можно применить к обмену данными, поскольку на практике каналы влияют на сигналы различной частоты по-разному. Рассмотрим конкретный пример: передачу ASCII-символа «b», закодированного в виде 8-битного числа. Передаваемая комбинация битов имеет вид 01100010. Слева на илл. 2.12 (а) показан выходной сигнал передающего устройства в виде напряжения электрического тока. При гармоническом разложении этого сигнала получаем следующие коэффициенты:

Корень из среднеквадратической амплитуды,

, для нескольких первых членов разложения приведен в правой части илл. 2.12 (а). Эти значения интересны тем, что их квадраты пропорциональны передаваемой на соответствующей частоте энергии.

Ни одно средство связи не может передавать сигналы без потери в процессе хотя бы небольшой доли мощности. Если уменьшить все гармоники Фурье в равной степени, амплитуда итогового сигнала уменьшится, но он не исказится; то есть он по-прежнему будет иметь аккуратную прямоугольную форму, как на илл. 2.12 (а). К сожалению, любое передающее оборудование уменьшает различные гармоники в разной степени, вследствие чего возникает искажение сигнала.

Илл. 2.12. (а) Бинарный сигнал и его среднеквадратичные амплитуды Фурье. (б)–(д) Последовательные аппроксимации исходного сигнала

Обычно амплитуды передаются по проводам практически в неизменном виде от нуля до некой частоты fc (измеряемой в герцах), а все частоты сверх этой частоты среза ослабляются. Ширина диапазона частот, передаваемых практически без затухания, называется шириной полосы пропускания, или просто пропускной способностью (bandwidth). На практике частота среза не настолько четко выражена, так что нередко упомянутая частота указывается в виде диапазона от 0 до частоты, на которой мощность полученного сигнала падает вдвое.

Пропускная способность — физическое свойство среды передачи, зависящее от конструкции, толщины, длины и материала провода или оптоволокна, а также других факторов. Для ее дальнейшего ограничения нередко применяются фильтры. Например, в беспроводных каналах 802.11 обычно используется диапазон в 20 МГц, поэтому радиоустройства, работающие по стандарту 802.11, фильтруют ширину полосы пропускания сигнала, чтобы привести ее к этим рамкам (хотя в некоторых случаях применяется диапазон в 80 МГц).

Приведем еще один пример: традиционные (аналоговые) телевизионные каналы (как проводные, так и беспроводные) занимают полосу в 6 МГц каждый. Такая фильтрация позволяет большему числу сигналов совместно использовать одну область спектра, что повышает общую эффективность системы. Это значит, что диапазон частот для некоторых сигналов начинается не с нуля, а с более высокого значения. Впрочем, это не важно. Полоса пропускания остается шириной диапазона переданных частот, а передаваемая информация зависит только от нее, а не от начальной и конечной частот. Сигналы, охватывающие частоты от 0 до максимальной частоты, называются немодулированными (baseband signals)19. А сигналы, смещенные по спектру на более широкий диапазон частот, как в случае всех проводных передач данных, называются полосовыми сигналами (passband signals).

Теперь представим, как выглядел бы сигнал с илл. 2.12 (а), если бы его полоса пропускания была настолько узкой, что передавались бы только самые низкие частоты. Точнее, если бы функция аппроксимировалась первыми несколькими членами уравнения (2.2). На илл. 2.12 (б) показан сигнал, пришедший по каналу, пропускающему далее только первую гармонику (основную, f). Аналогично на илл. 2.12 (в)–(д) представлены спектр и восстановленные функции для каналов с большей полосой пропускания. В случае передачи цифровых данных нужно получить сигнал, достаточно достоверный для восстановления отправленной последовательности битов. Мы уже можем с легкостью это сделать (см. илл. 2.12 (д)), так что не имеет смысла использовать больше гармоник для повышения точности.

В нашем случае для отправки 8 бит (по 1 биту за раз) при скорости передачи данных в b бит/с понадобится 8/b с. Таким образом, частота первой гармоники этого сигнала равна b/8 Гц. В обычных телефонных линиях, часто называемых каналами передачи голоса (voice-grade line), искусственно производится срез на частоте чуть выше 3000 Гц. В результате этого ограничения номер высшей гармоники, проходящей по линии, приблизительно равен 3000/(b/8), то есть 24 000/b (срез — плавный).

Конкретные значения для некоторых скоростей передачи данных приведены на илл. 2.13. Из этих чисел понятно, что если отправить 9600 бит/с по каналу передачи голоса, график на илл. 2.12 (а) станет ближе к графику на илл. 2.12 (в). В итоге будет довольно сложно обеспечить четкий прием обычного бинарного битового потока. Очевидно, что при скоростях выше 38,4 Кбит/с использовать бинарные сигналы невозможно, даже если канал полностью свободен от шума. Другими словами, установление предела пропускной способности ограничивает скорость передачи данных, даже если каналы идеальны. Впрочем, существуют схемы кодирования с использованием нескольких уровней напряжения тока, за счет чего можно добиться более высоких скоростей. Мы обсудим эти схемы позже.

Бит/с

T (мс)

Первая гармоника (Гц)

Число отправляемых гармоник

300

26,67

37,5

80

600

13,33

75

40

1200

6,67

150

20

2400

3,33

300

10

4800

1,67

600

5

9600

0,83

1200

2

19 200

0,42

2400

1

38 400

0,21

4800

0

Илл. 2.13. Соотношение скорости передачи данных и гармоник в нашем простом примере

  • Читать дальше
  • 1
  • ...
  • 47
  • 48
  • 49
  • 50
  • 51
  • 52
  • 53
  • 54
  • 55
  • 56
  • 57
  • ...

Private-Bookers - русскоязычная библиотека для чтения онлайн. Здесь удобно открывать книги с телефона и ПК, возвращаться к сохраненной странице и держать любимые произведения под рукой. Материалы добавляются пользователями; если считаете, что ваши права нарушены, воспользуйтесь формой обратной связи.

Полезные ссылки

  • Моя полка

Контакты

  • help@private-bookers.win