Игра Люцифера
вернуться

Биркенфельд Брэдли

Шрифт:

Я хочу поблагодарить всех тех, кто помогал мне в создании этой книги. Спасибо моим друзьям, семье и коллегам — я очень ценю все то, что вы делаете, чтобы рассказать всему миру о моей жизни. Вы помогли мне описать жизнь частного банкира и сделали все для того, чтобы мой рассказ не ушел в сторону. Также я бы хотел поблагодарить Эрика Раймана за помощь в путешествии по таинственному миру законодательства, связанного с произведениями литературы и искусства.

Я всегда буду безгранично признателен моим дорогим друзьям Фрицу Беллу (светлая память!) и Уиллу Фрегози, которые дали мне кров, работу и возможность общения после освобождения из тюрьмы. Они помогли мне снова встать на ноги, гордились моими действиями по изобличению преступников и всячески поощряли меня к тому, чтобы я рассказал эту историю всему миру.

И наконец, я очень благодарен Стивену Хартову за множество часов, в течение которых он терпеливо изучал историю и тщательно погружался в жизнь частного банкира. Спасибо ему за вдумчивое исследование моего исторического изобличения и моей драматической битвы против министерства юстиции. Стивен смог мастерски передать в книге мои интонации, и нам удалось удачно рассказать неслыханную историю о том, как я разрушил секретность швейцарской банковской системы.

ПРИЛОЖЕНИЯ

Десять крупнейших скандалов с участием UBS

Мое историческое изобличение позволило открыть лишь одну из многих незаконных схем, реализованных UBS в недавние годы. И хотя действия по уходу от налогов, которые я предал огласке, имели очень крупные последствия, другие известные схемы с участием UBS позволяют понять, с каким пренебрежением относился банк к законам, работая по всему миру.

1. 10 мая 2004 года — незаконный перевод валюты США в страны, находящиеся под эмбарго.

ШТРАФ: 100 миллионов долларов.

2. 18 февраля 2009 года — уклонение от уплаты налогов в США с помощью офшорных схем.

ШТРАФ: 780 миллионов долларов.

3. 4 мая 2011 года — мошенничество с ценными бумагами на рынке деривативов (мини-бондов).

ШТРАФ: 160 миллионов долларов.

4. 26 ноября 2012 года — вышедший из повиновения британский трейдер потерял 2,3 миллиарда долларов.

ШТРАФ: 47,6 миллиона долларов.

5. 19 декабря 2012 года — махинации со ставкой LIBOR на валютном рынке.

ШТРАФ: 1,5 миллиарда долларов.

6. 25 июля 2013 года — мошенничество на рынке ценных бумаг, обеспеченных закладными.

ШТРАФ: 885 миллионов долларов.

7. 29 июля 2014 года — уклонение от уплаты налогов в Германии с помощью офшорных схем.

ШТРАФ: 403 миллиона долларов.

8. 30 сентября 2014 года — уклонение от уплаты налогов во Франции и отмывание денег.

ШТРАФ: 1,4 миллиарда долларов.

9. 20 мая 2015 года — скандал на рынке валют и LIBOR.

ШТРАФ: 545 миллионов долларов.

10. 10 марта 2016 года — признание незаконными премий, выплаченных банкирам UBS.

ШТРАФ: 130 миллионов долларов.

Документ 1: Швейцарская банковская тайна

UBS

Частное банковское обслуживание

Конфиденциальность клиента банка в Швейцарии Июнь 2003 г.

Эта презентация UBS описывает причины, по которым клиенты UBS были некорректно проинформированы о том, что они находятся под защитой банковской тайны.

Документ 2: Трехстраничный меморандум

Именно этот меморандум UBS был основной причиной, по которой Брэд решил осуществить свое историческое изобличение.

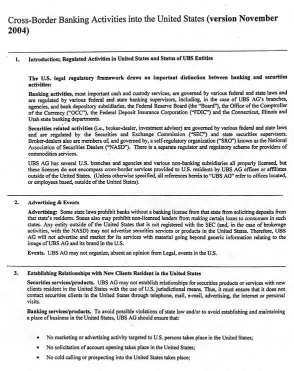
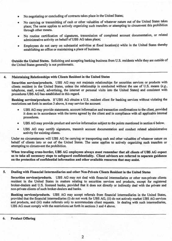
Трансграничная банковская деятельность на территории Соединенных Штатов (версия от ноября 2004 г.)
1. Введение: регулируемые виды деятельности в Соединенных Штатах Америки и статус компании UBS

Правовая нормативная база США проводит важное различие между банковской деятельностью и деятельностью в области ценных бумаг.

Банковская деятельность, в особенности операции с деньгами и кастодиальные услуги, регулируются различными федеральными законами и законами отдельных штатов, а также контролируются различными ведомствами, как федеральными, так и на уровне штатов, включая (в случае подразделений, агентств и подразделений UBS AG, занимающихся депозитарными услугами) Федеральное резервное управление («Управление»), Управление аудита денежного обращения (COCC), Федеральную корпорацию по страхованию вкладов (FDIC) и органы, регулирующие банковскую деятельность в штатах Коннектикут, Иллинойс и Юта.

  • Читать дальше
  • 1
  • ...
  • 94
  • 95
  • 96
  • 97
  • 98
  • 99
  • 100
  • 101
  • 102
  • 103
  • 104
  • ...

Private-Bookers - русскоязычная библиотека для чтения онлайн. Здесь удобно открывать книги с телефона и ПК, возвращаться к сохраненной странице и держать любимые произведения под рукой. Материалы добавляются пользователями; если считаете, что ваши права нарушены, воспользуйтесь формой обратной связи.

Полезные ссылки

  • Моя полка

Контакты

  • help@private-bookers.win