Игра Люцифера
вернуться

Биркенфельд Брэдли

Шрифт:

• UBS AG может предоставлять клиенту заявления, информацию о счетах и подтверждения совершенных сделок при условии, что это делается на условиях, согласованных с клиентом и в соответствии со всеми применимыми внутренними процедурами.

• UBS AG может предоставлять информацию о своих продуктах и услугах в соответствии с положениями раздела 6 ниже.

• UBS AG может заниматься сертификацией подписей, пересылкой документации о состоянии счета и производить соответствующие административные действия для существующих клиентов.

Ни при каких обстоятельствах UBS AG не будет производить или организовывать от имени клиентов доставку денежных средств и других ценностей любого характера на территорию Соединенных Штатов. То же самое применимо в отношении активной организации подобных действий или попыток обойти данный запрет.

В случае поездок в другие страны сотрудники UBS AG должны помнить, что все клиенты UBS AG ожидают от нас всех необходимых действий для сохранения конфиденциальности. Сотрудники, оказывающие консультации клиентам, должны руководствоваться дополнительными правилами сохранения конфиденциальной информации и другими уместными и доступными им ресурсами.

5. Общение с финансовыми посредниками и другими нечастными клиентами — резидентами Соединенных Штатов

Услуги и продукты, связанные с ценными бумагами. UBS AG не может вступать в деловые отношения с финансовыми посредниками или другими нечастными клиентами в Соединенных Штатах по вопросам, касающимся услуг и продуктов в области ценных бумаг, за исключением зарегистрированных брокеров, дилеров и банков, лицензированных в США (при условии, что это ни прямым, ни косвенным образом не связано с обслуживанием частных и нечастных клиентов таких брокеров, дилеров и банков.

Банковские услуги и продукты. UBS AG может принимать запросы от финансовых посредников в Соединенных Штатах при условии, что эти финансовые посредники (i) не работают на UBS AG; (ii) не занимаются активным маркетингом услуг и продуктов UBS AG и (iii) их запросы основаны на соответствующих запросах, поступающих от их клиентов. Работая с такими посредниками, UBS AG должен выполнять ограничения, установленные в разделах 3 и 4 выше.

6. Предложение продуктов

Продукты, связанные с ценными бумагами. Все продукты, связанные с ценными бумагами, предлагаемые лицам из США, должны соответствовать законам США, что в целом означает, что они должны быть зарегистрированы в Комиссии по ценным бумагам и биржам. При определенных условиях покупка ценных бумаг может быть освобождена от регистрации.

Кредитные продукты. В зависимости от цели, суммы, процентной ставки и личности заемщика для некоторых кредитных продуктов требуется получить лицензию в органах соответствующего штата. Несмотря на то что федеральные законы о защите прав потребителей неприменимы в отношении продуктов, предлагаемых компаниями, зарегистрированными за пределами США, в этих случаях могут быть применимы законы штатов о защите прав потребителей (например, законы, направленные против ростовщичества).

Исследования. Материалы проводимых UBS AG исследований не могут направляться клиентам в Соединенных Штатах, кроме некоторых исключительных обстоятельств.

Электронное банковское обслуживание. UBS AG установил ряд конкретных ограничений на предложение американским клиентам услуг в области электронного банковского обслуживания.

Документ 3: Обучающие документы UBS

< image l:href="#"/>

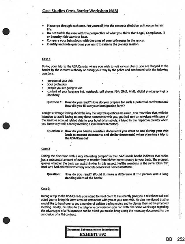
В этих обучающих документах UBS содержатся типовые сценарии, по которым банкиры UBS должны были отвечать на вопросы таможенной службы при въезде в США и Канаду.

Обсуждение примеров трансграничной деятельности (семинар)

• Изучите каждый пример. Попробуйте представить себе, что данная конкретная ситуация возникает с вами в реальной жизни.

• Не формулируйте свои ответы с учетом того, что, по вашему мнению, от вас хотят услышать представители юридического отдела, службы информационных технологий или отдела оценки рисков.

• Сравните свое поведение с поведением других коллег в группе.

• Сформулируйте и запишите вопросы, которые вы хотели бы задать в ходе дальнейшего обсуждения.

Пример 1

Во время вашей поездки в США или Канаду, где вы хотели бы встретиться с клиентами, вас останавливает на границе представитель таможенной службы (или представитель полиции) и задает вам следующие вопросы:

• цель вашего визита;

• ваша профессия;

• имена людей, с которыми вы планируете встретиться;

  • Читать дальше
  • 1
  • ...
  • 96
  • 97
  • 98
  • 99
  • 100
  • 101
  • 102
  • 103
  • 104
  • 105
  • 106
  • ...

Private-Bookers - русскоязычная библиотека для чтения онлайн. Здесь удобно открывать книги с телефона и ПК, возвращаться к сохраненной странице и держать любимые произведения под рукой. Материалы добавляются пользователями; если считаете, что ваши права нарушены, воспользуйтесь формой обратной связи.

Полезные ссылки

  • Моя полка

Контакты

  • help@private-bookers.win