Школоприколы
вернуться

Палёк Олег

Шрифт:

Откуда

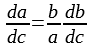
Применяя формулу разделения переменных, получаем диффур:

сdc = ada – bdb [3]

Интегрируем:

или

c2=a2—b2 [6]

В: (обалдело смотрит на доску). Это неверная формула! Сейчас я найду ошибку…

Г: Ищите. Я пока поиграю (уходит к своей парте).

Смена картинки. Звенит звонок, никто не обращает на него внимания. Все смотрят на В., покрывшего соседнюю доску мелкими формулами (рис. 2). В класс входит Т.

Т: Звонок давно, последний урок. Что не выходите?

В: (с взъерошенными волосами и безумными глазами). Не мешайте, мы здесь решаем мировую проблему математики! Неужели Пифагор ошибался?!

Т: (быстро просматривает «доказательство» Г.). В дифференциальном уравнении неправильно разделены переменные. Будет плюс, а не минус (исправляет минус на плюс в 3-й формуле). Давайте выметайтесь все. Мне убираться надо.

Практическое доказательство

Действующие лица: Глеб (Г), Саша (С).

Место действия: квартира.

Реквизит: линейка, мухобойка, ножницы.

Возраст: 11–14 лет.

Сложность постановки: легкая.

Использование: чтение, театр, съемка.

Лето, квартира, С. и Г. сидят за столом.

С: Меня прикрепили к тебе подтянуть геометрию и я это сделаю. Времени у нас много – все летние каникулы. Начнем с азов. Любые три точки всегда лежат в одной плоскости.

Г: Доказательство?

С: Нет. Это аксиома.

Г: (водит руками в воздухе). Что-то мне не верится (осматривается, берет мухобойку). Смотри, ведь плоскость? А мухи ведь как точки? Давай проверим твое утверждение (передает мухобойку С.)

С. бьет мухобойкой.

Г: (осматривает мухобойку). Две мухи. Не подтверждено.

С. бьет мухобойкой.

Г: (осматривает мухобойку). Вообще одна.

С. бьет мухобойкой.

Г: (осматривает мухобойку). Три. Но это может быть случайность. Нужно набрать статистику.

Смена картинки. Утомленный С. полулежит на диване.

С: Ох, утомился я с этой проверкой!

Г: (подходит к С. с ножницами и линейкой). Теперь осталось доказать, что пифагоровы штаны во все стороны равны. Ты не Пифагор, но штаны снимай – отрежем как надо и измерять будем!

С. обалдело смотрит на Г.

Логика невозможного

Действующие лица: Глеб (Г), учитель (У).

Место действия: школьный урок.

Реквизит:

Возраст: 9–14 лет.

Сложность постановки: легкая.

Использование: чтение, театр.

На доске надпись: «Основы математической логики». Г. шепчется с соседом по парте.

У: Глеб, ты хочешь отвечать?

Г: Нет, вы же сказали, что хотите неожиданно меня вызовите в этой четверти. А это невозможно.

У: Почему?

Г: Давайте рассуждать логически. До каникул осталась ровно неделя, поэтому в субботу вы меня вызвать не можете. Иначе в пятницу я буду знать, что меня вызовут в субботу, а значит, неожиданность будет нарушена. Так?

У: Согласна.

Г: Итак, в субботу меня не вызовут. Но меня не вызовут и в пятницу, потому что тогда в четверг я буду знать, что меня вызовут в пятницу и опять неожиданность нарушится. И так далее для четверга, среды и вторника. А сегодня понедельник.

  • Читать дальше
  • 1
  • 2
  • 3
  • 4
  • 5
  • 6

Private-Bookers - русскоязычная библиотека для чтения онлайн. Здесь удобно открывать книги с телефона и ПК, возвращаться к сохраненной странице и держать любимые произведения под рукой. Материалы добавляются пользователями; если считаете, что ваши права нарушены, воспользуйтесь формой обратной связи.

Полезные ссылки

  • Моя полка

Контакты

  • help@private-bookers.win