Школоприколы
вернуться

Палёк Олег

Шрифт:

Запорожец Валуева

Действующие лица: Глеб (Г), учительница (У), Николай Валуев (В).

Место действия: школьный класс.

Реквизит:

Возраст: 14–16 лет.

Примечание: Необходим боксер Николай Валуев или актер, загримированный под него.

Сложность постановки: средняя (требуется массовка).

Использование: чтение, театр, съемка.

Школьный класс. Г. – школьный хулиган внушительной комплекции. Звонок, входит У.

У: Здравствуйте, ребята. Я ваша новая учительница по математике, Любовь Михайловна.

Г: А я Глеб Иванов. А как ваша фамилия?

У: Вот что, Глеб Иванов, в следующий раз, когда захочешь задать вопрос, поднимай руку. А фамилия моя Запорожец.

Г: (тянет руку, У. разрешает). А ваша фамилия «Запорожец» – она от казаков произошла или автомобиля?

У: У нас урок математики, Глеб, а не русского языка

Г: Значит, от автомобиля.

У: Иванов! Я рада, что ты хорошо осведомлен в советской истории! Сядь!

Г: А у вас правда багажник спереди? И сзади ничо так, потому что там двигатель?

У: Дурак ты, Глеб. Эту фамилию мне еще недолго носить. Я выхожу замуж.

Г: А он кто? Москвич или Жигули? Я бы с ним познакомился.

У: Да ты его наверняка знаешь.

Звенит звонок. В класс входит Николай Валуев.

У: (к Валуеву). Коля, вот этот ученик (показывает) хотел с тобой познакомиться.

В: (внимательно смотрит на Г.). Правда?

Г: (заикаясь). Ну… я… думал…

Г. пулей вылетает из класса.

В: (в камеру). Вот так всегда. Сначала хотят познакомиться, а как прихожу – убегают (разводит руками).

Пифагор был прав

Действующие лица: Глеб (Г), Маша (М), учительница (У), Василий (В), уборщица-таджичка (Т).

Место действия: школьный класс.

Реквизит: две школьных доски, мел.

Возраст: 12–14 лет.

Сложность постановки: средняя (требуется массовка).

Использование: чтение, театр, съемка.

Школьный класс, урок математики. Рядом с У. сидит В.

У: Сегодня у нас проверяющий из РОНО Василий Сергеевич, кандидат математических наук. Покажем ему, чего мы достигли. Маша, расскажи нам о теореме Пифагора.

М: (выходит к доске, пишет). a2+b2=c2. В прямоугольном треугольнике сумма квадратов катетов равна квадрату гипотенузы.

В: Правильно. Но я вижу, не все в вашем классе внимательно слушают урок (показывает на Г. на последней парте).

У: Это Глеб, двоечник, весь урок отвлекается, играет на планшете…

В: Глеб, что ты можешь добавить к ответу Маши?

Г: (с удивлением отрывается от планшета). Неправильно она ответила. Не сумма, а разность.

У: Да что ты говоришь! Может, докажешь?

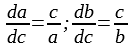
Г: (нехотя выходит к доске, пишет, см. рис. 1). Да легко. Берем бесконечно малые приращения катетов a, b и гипотенузы с, сохраняющие подобие с исходным прямоугольником и получаем такие дифференциальные соотношения:

[1]

  • Читать дальше
  • 1
  • 2
  • 3
  • 4
  • 5
  • 6

Private-Bookers - русскоязычная библиотека для чтения онлайн. Здесь удобно открывать книги с телефона и ПК, возвращаться к сохраненной странице и держать любимые произведения под рукой. Материалы добавляются пользователями; если считаете, что ваши права нарушены, воспользуйтесь формой обратной связи.

Полезные ссылки

  • Моя полка

Контакты

  • help@private-bookers.win