Софья Васильевна Ковалевская
вернуться

Полубаринова-Кочина Пелагея Яковлевна

Шрифт:

Остановимся на этой задаче и выпишем систему шести уравнений движения тяжелого твердого тела вокруг неподвижной точки, состоящую из двух групп уравнений [146]:

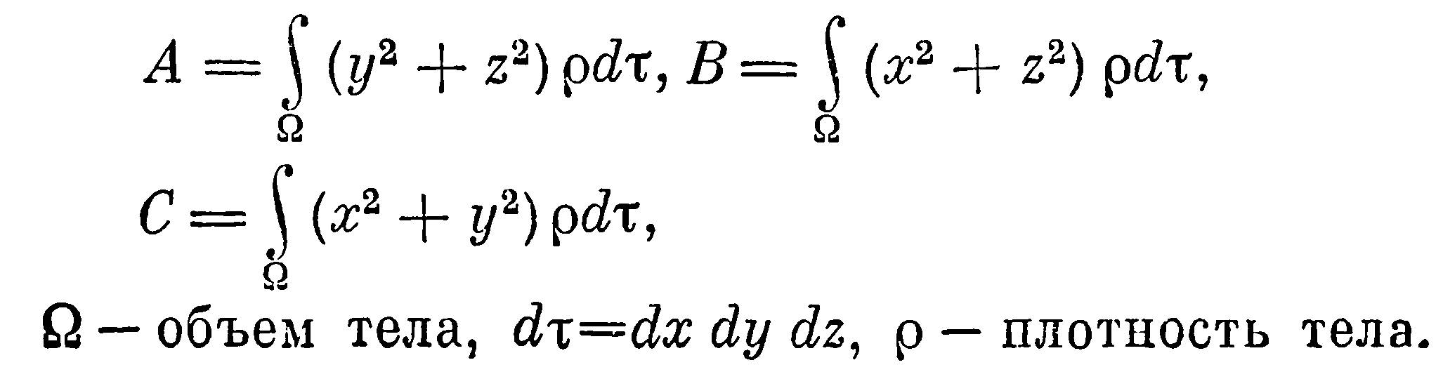
Здесь X, y, z — координаты произвольной точки тела в подвижной системе координат, неизменно связанной с движущимся телом, причем начало координат помещено в неподвижной точке тела; р, q, г — составляющие вектора угловой скорости вращения тела; у, у', ч" “ направляющие косинусы вертикальной оси относительно подвижных осей (х, у, z), Далее, через М обозначается масса тела, через (х0, у0, Zo) — координаты центра его тяжести, g — ускорение силы тяжести, А, В, С —главные моменты инерции тела, т. е. выражения

183

Задача состоит в нахождении

как функций времени, если известны начальные значения их
в момент времени
При этом между
должно выполняться соотношение

Известно, что система уравнений (1), (2) имеет три первых интеграла:

Система уравнений (1), (2) автономна, т. е. время в нее входит лишь в виде dt, поэтому, разрешив уравнения (1) относительно производных и разделив почленно все уравнения на одно из них, получают пять уравнений. Теория последнего множителя позволяет найти еще один интеграл. Поэтому достаточно иметь вдобавок к (3) еще один, четвертый интеграл, чтобы получить полное решение задачи.

Были известны такие частные случаи, когда имеется четвертый интеграл — он является также алгебраическим.

1. Случай Эйлера, когда Xo=y0=z0=0, т. е. центр тяжести совпадает с неподвижной точкой. Здесь нетрудно найти четвертый интеграл

Выпишем лишь один член решения, определяющий зависимость между t и q (для случая, когда B>D, где D оп-* ределено ниже) :

84

Функция q (t) находится обращением эллиптического интеграла (4):

Для риг получены аналогичные соотношения;

определяются из уравнений

2. Случай Лагранжа, для которого А—В, х0=у0=01 т. е. рассматривается тело с симметричным эллипсоидом инерции, центр тяжести которого лежит на оси z. Здесь последнее из уравнений (1) выглядит очень просто: C(dr/dt)= 0, откуда г=С4 является новым, четвертым алгебраическим интегралом. Решение также сводится к обращению эллиптических интегралов.

Ковалевская подошла к задаче о вращении по-новому: она стала рассматривать, как это сделал Пуанкаре в задаче п тел, время t как комплексное переменное (для каждой конкретной задачи рассматриваются его действительные значения) и применила аппарат теории функций комплексного переменного. Она ищет решение, предполагая, что функции р, q, г, 7, 7', 7" имеют полюсы на комплексной плоскости переменного t. Если один из этих полюсов есть t=tu то, обозначая т=?—?4, можно искать решение в виде рядов

Подставляя эти ряды в уравнения (1), (2), Ковалевская нашла порядок возможных полюсов:

и условия существования решения вида (5). Оказалось, что они возможны в известных, указанных нами двух случаях и кроме того в новом, открытом Ковалевской случае, когда

Оказалось, что в этом случае существует, кроме трех интегралов (3), также алгебраический четвертый интеграл.

185

Эти результаты в краткой форме и приведены Ковалев^ ской в указанном письме к Миттаг-Леффлеру. Далее она излагает часть работы, относящейся к отысканию p(t), q{t), ..., 4(f), ..., и добавляет, что последние из приведенных в письме формул она еще не успела развить.

Это очень досадно, потому что, как Вы видите, моя работа стала довольно интересной. Самое худшее это то, что я так устала, так изнемогла, что я сижу, сижу и размышляю в течение целых часов о какой-нибудь простой вещи, которую я при других обстоятельствах легко могла бы решить в полчаса.

  • Читать дальше
  • 1
  • ...
  • 64
  • 65
  • 66
  • 67
  • 68
  • 69
  • 70
  • 71
  • 72
  • 73
  • 74
  • ...

Private-Bookers - русскоязычная библиотека для чтения онлайн. Здесь удобно открывать книги с телефона и ПК, возвращаться к сохраненной странице и держать любимые произведения под рукой. Материалы добавляются пользователями; если считаете, что ваши права нарушены, воспользуйтесь формой обратной связи.

Полезные ссылки

  • Моя полка

Контакты

  • help@private-bookers.win