Софья Васильевна Ковалевская
вернуться

Полубаринова-Кочина Пелагея Яковлевна

Шрифт:

Она занялась этой задачей, но сначала ее попытки оказались бесплодными. Впоследствии исследования Вейерштрасса относительно условий устойчивости и аналогии с другими динамическими задачами «снова оживили мой пыл,— говорит Ковалевская,— и возбудили во мне надежду решить эту задачу при помощи абелевых функций, аргументы которых не являются линейными функциями времени.

Эти исследования показались мне настолько интересными и прекрасными, что я на время забыла все остальное и предалась им со всей горячностью, на какую я только способна... Вычисления, к которым я пришла, пользуясь этим способом, настолько трудны и сложны, что пока я еще не могу сказать, достигну ли я желанной цели. Во всяком случае, в течение двух-трех недель, не более, я надеюсь узнать, чего мне держаться, и г. Вейерштрасс утешает меня, что даже в худшем случае я могу всегда обратить задачу и постараться определить, под влиянием каких сил получается вращение, переменные которого могут быть выражены в абелевых функциях,— задача, правда, довольно тощая и далеко не представляющая такого же интереса, как та, которую я себе поставила» [СК 5].

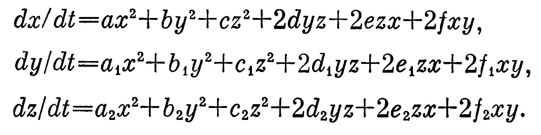
Уравнения движения тяжелого твердого тела вокруг неподвижной точки представляют систему шести дифференциальных уравнений, в левых частях которых стоят производные по времени от искомых функций, а в правых — полиномы второй степени от этих функций. Ковалевская стала искать решение системы, аналогичной указанной, но с меньшим числом переменных. В письме Миттаг-Леффлеру от 29 декабря 1884 г. [МЛ 35] она

180

рассматривает систему трех уравнений:

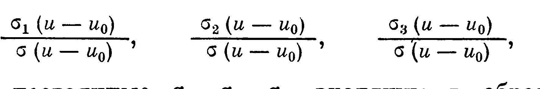
Ковалевская говорит, что линейным преобразованием эту систему можно привести к одному из более простых типов, например к такому:

В частном случае

эта система может быть проинтегрирована с помощью эллиптических функций а (гг), a именно, общий интеграл представляется в форме линейной функции трех отношений

где постоянные giy g2, gs, входящие в образование а, являются произвольными. Ковалевская отмечает важное свойство полученного ею решения: оно выражается с помощью однозначных функций от переменной гг, которые имеют не более одной существенно особой точки гг = «>, а для конечных значений гг — только полюсы первого порядка. Для случая произвольных значений а, 6, с,... Ковалевская ставит вопрос:

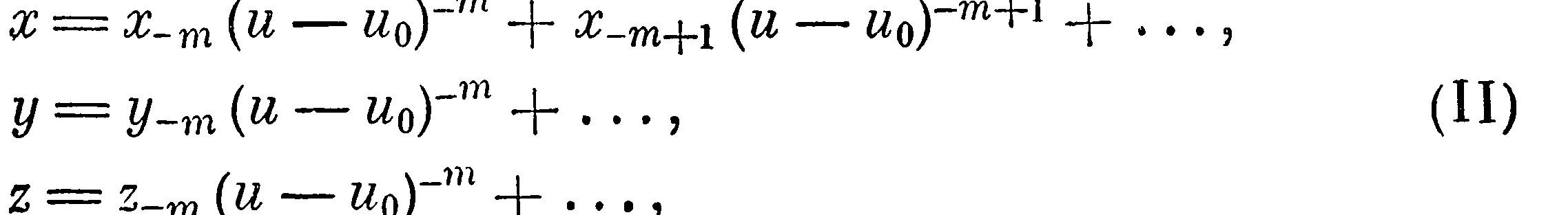
«Может ли система х, г/, z, удовлетворяющая уравнениям (I), вообще допускать полюсы, или же только существенно особые точки, другими словами,— возможно ли удовлетворить уравнениям (I) рядами вида

где m — целое положительное число (или, по крайней мере, какое угодно положительное число). Легко убедиться, что это возможно только в случае m = 1 и что тогда это всегда возможно».

181

Далее Ковалевская замечает, что при произвольных

ряды (II) будут определены с точностью до множителя, т. е. будут содержать лишь одну произвольную постоянную. Это показывает, что общие интегралы уравнений (I) должны бы иметь еще другие особенности, кроме полюсов.

В частном случае, когда имеется соотношение atb2c = = CLzbci, еще один коэффициент рядов (II) остается неопределенным, и ряды содержат три произвольных постоянных, следовательно, как и в указанном частном случае, имеем общее решение.

Ковалевская добавляет: «Это позволяет нам сделать заключение, что в этом [т. е. частном] случае общие, интегралы будут также однозначными функциями на всей плоскости, имея только одну существенно особую точку и=°°, а для конечных значений и — только полюсы первого порядка». Она надеется, что изучение свойств однозначных функций, существование которых она доказала, «возможно, прольет свет когда-нибудь на свойства более общих функций

где

— квадратичная форма п переменных» [75, с. 106].

На рассмотренной задаче, ясно виден ход мысли Ковалевской, который привел ее к открытию нового случая вращения.

Уже в 1886 г. Ковалевская получила основные результаты по своей задаче. В этом году Парижская академия наук объявила две премии на 1888 г. по физико-математическим наукам: одну по математике на большую премию математических наук, состоящую из медали и 3000 франков, — усовершенствовать теорию алгебраических функций двух независимых переменных, и другую — на премию Бордена, состоящую из медали и 3000 франков,— усовершенствовать в каком-нибудь важном пункте теорию движения твердого тела (см. Примечание 2).

Шарль Лоран Борден был нотариусом, передавшим в 1835 г. Институту Франции ренту в 15 000 франков, которая должна была распределяться поровну между пятью академиями Франции. Темы, которые могли выдвигаться на конкурс, согласно завещанию Бордена, должны были иметь целью общественные интересы, благо человечества, прогресс науки и национальную честь.

182

Ковалевская решила представить свою работу на премию Бордена. Однако ей предстояло еще произвести огромные математические выкладки и оформить работу, В письме к Миттаг-Леффлеру, относящемуся к лету 1888 г., она говорит:

«Моя голова так теперь полна математикой, что я не могу ни думать, ни говорить о чем-нибудь другом. Я пришла к определенному результату, и к очень приятному притом, а именно, что этот случай задачи о вращении интегрируется действительно посредством ультраэл- липтических функций. Но мне еще предстоит разработать окончательные формулы, и я не знаю, успею ли я это сделать до конца месяца. Не могу не сообщить Вам несколько подробнее о своей работе. Вследствие недостатка времени буду писать очень коротко, но, пожалуйста, постарайтесь все же вникнуть в вопрос» [СК 273].

  • Читать дальше
  • 1
  • ...
  • 63
  • 64
  • 65
  • 66
  • 67
  • 68
  • 69
  • 70
  • 71
  • 72
  • 73
  • ...

Private-Bookers - русскоязычная библиотека для чтения онлайн. Здесь удобно открывать книги с телефона и ПК, возвращаться к сохраненной странице и держать любимые произведения под рукой. Материалы добавляются пользователями; если считаете, что ваши права нарушены, воспользуйтесь формой обратной связи.

Полезные ссылки

  • Моя полка

Контакты

  • help@private-bookers.win