Шрифт:
И вот начиная с 33-го года все чаще соавтором Резерфорда становился Маркус Олифант. Мемуаристы утверждают, что молодой австралиец, подобно Фаулеру и Капице, чем-то напоминал самого сэра Эрнста. Была в его лице та же привлекательная открытость, а в манере поведения — та же шумная непосредственность. А Бор уверял, что они вообще были людьми одного склада и одного типа работоспособности. Словом, не случайно Олифант стал последней кавендишевской привязанностью Резерфорда.
В 1933 году он запустил по заданию шефа новую установку для ускорения протонов. Она давала не 600 тысяч вольт, а в три раза меньше. Но зато на ней достигалась в сто раз более высокая плотность потока ускоренных частиц, чем у Коккрофта—Уолтона. И когда эта установка еще только монтировалась, Резерфорд, как бы подразнивая старого манчестерца Ганса Гейгера, сообщал ему, что скоро будет работать с такими бомбардирующими корпускулярными потоками, какие могла бы давать лишь глыба радия весом больше 100 килограммов. На этой-то установке Резерфорд вместе с Олифантом провел в 33-м году обширное исследование, для которого, однако, не нашлось иного заглавия, кроме совершенно описательного: «Эксперименты по превращению элементов с помощью протонов».
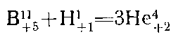
Варьировались мишени — от легких атомов до самых тяжелых. Менялась энергия протонов — от 20 тысяч до 200 тысяч электрон-вольт. Накапливалась статистика трансмутаций. Выяснялось, когда они происходят, а когда нет. И была в этой работе обстоятельность, но не было взлетов. Была систематичность, но не было озарений. И лишь в 7-м пункте ее итогов заключался впечатляющий результат: обстрел мишени из бора приводил к красивой ядерной реакции — рождались три гелиевых ядра, три альфа-частицы, разлетавшихся под углами в 120 градусов:
Но и этот успех вряд ли заслуживал названия триумфального, как определил его Ив ради оправдания неосторожного прозвища — «рекордный год».
Если 33-й год и был для науки рекордным, то разве чго в трагическом смысле. Однако сначала еще немного об его радостях.
3 февраля лорд-председатель Совета Стенли Болдуин торжественно открывал на Фри Скул лэйн новую физическую лабораторию Королевского общества. Дело в том, что он был по совместительству и лидером английских твердолобых и канцлером Кембриджского университета. А кроме того, любил Резерфорда. Любил и ценил. Ценил до чрезвычайности высоко. И даже утверждал, что мир, сознавая величье работ Резерфорда, все-таки не отдает себе полного отчета в истинном их значении. А сэру Эрнсту не только приятно, но и полезно было, чтобы новую лабораторию открывал один из руководителей правительства: в глазах всех, кто финансировал науку, это придавало Кавендишу лишний вес.
Пятнадцать тысяч фунтов из Мондовского фонда были истрачены, по-видимому, наилучшим образом. Во всяком случае, так считали и Резерфорд и Капица. Первый — потому, что глубоко верил в плодотворность замыслов второго. А второй — потому, что лаборатория специально для него и строилась, да к тому же по его расчетам и планам.
— Открытие этой лаборатории — кульминация моих надежд последнего десятилетия… — сказал во время торжественной церемонии Резерфорд. И это не были застольные слова, вырвавшиеся от избытка чувств под впечатлением минуты. То была фраза из обдуманного и заранее написанного адреса.
Не обошлось без смешного происшествия… Да, адрес был написан задолго до торжества. И передан Болдуину в качестве шпаргалки для его будущей поздравительной речи. Резерфорд успел забыть об этом, а Болдуин, очевидно, давно привык не утруждать себя на официальных церемониях слушаньем чужих спичей. Выступая после Резерфорда, он как ни в чем не бывало прочитал тот самый текст, который только что огласил сэр Эрнст. Замечательно, что в аудитории, по словам Дирака и Капицы, никто даже не улыбнулся, сознавая, как нехорошо было бы испортить столь важный спектакль.
Так получилось, что, в сущности, дважды прозвучали слова:
«Кульминация моих надежд»!
Иным из кавендишевцев они показались чрезмерными. И непонятными. С новой силой в слабых душах пробудилось старое недовольство. Очередное возвышение «этого русского» было поистине беспрецедентным. И разве не физика ядра продолжала оставаться той областью, где концентрировались все вожделения Папы?| А между тем кульминацией его надежд, да еще в масштабах целого десятилетия, оказывалось создание наилучших условий для работы в иной области — сверхсильных магнитных полей…
Это недоумение поначалу казалось вполне здравым. Но недоумевающие не могли же пропустить мимо ушей простейший довод Резерфорда: мгновенные магнитные поля Капицы — «новое и мощное оружие исследования»! Эти слова содержались в том же приветственном адресе. Видимо, ему все больше нравилась декларация Капицы: «Одна сотая секунды — это громадное время, если вы знаете, как его использовать».
Ну, а не мог ли он, как спросил один кавендишевец, поместить деньги лучше? Это праздный вопрос. И невежливый. Для ответа на него обладал ли кто-нибудь большей компетентностью, чем он сам? Сказано было большим художником: «Надо быть на стороне гения!» (От возможных ошибок спасает критерий: «гений и злодейство — две вещи несовместные».)
Разумеется, этого рода недоумения и критицизм прятались за дверьми лабораторных комнат Кавендиша, почти ничем себя не выдавая. Зато порыв другого недовольства, в общем-то безобидного, но тоже связанного с открытием Мондлаборатории, пронесся над Кембриджем с явственным шумом.
Двухэтажное здание было построено в умеренно-конструктивистском духе, и на его фасаде в ясном ритме чередовались вертикальные плоскости из стекла и камня. Оно выглядело подчеркнуто современно. Но вне всяких требований стиля справа от входа по гладкой вертикали стены карабкался вверх высеченный в камне крокодил!