Теплотехника
вернуться

Бурханова Наталья

Шрифт:

Теоретические исследования как раз и состоят в том, чтобы помочь конструкторам и производственникам в изыскании наиболее эффективного факела. Так как интенсивность процессов тепло– и массопередачи и стой-костьпечи в большой мере определяются длиной факела, исследователи искали прежде всего ответ на важнейший вопрос: какова длина факела и от каких факторов она зависит.

15. Теплотехнические исследования мартеновских печей

В ходе поисков новых способов отопления мартеновских печей мазутом проводили теплотехнические исследования и изучали поведение серы в рабочем пространстве печи. Исследовали газомазутную печь, печи, отапливаемые мазутом, распыляемым в ее рабочем пространстве, и печи, отапливаемые газифицированным мазутом.

При проведении теплотехнических исследований печи отапливали в основном легкими, маловязкими мазутами, поступающими с южных нефтеперегонных заводов. На всех печах в период доводки поддерживали одинаковую тепловую нагрузку: расход мазута составлял 2400 кг/ч, ак= 1,3.

Содержание сажи определяли весовым методом.

Для контроля полноты осаждения сажи за основным фильтром из стеклянной ваты устанавливали фильтр из гигроскопической ваты.

Температуру газа в газовом пролете (на расстоянии 150 мм до выхода газов из кессона) измеряли вольф-раммолибденовой штыковой термопарой, вмонтированной в кожух, охлаждаемый водой. Рабочий спай термопары был защищен кварцевым наконечником.

Изучение радиационных свойств факелов начали с замера радиационных температур факела и кладки по длине рабочего пространства печи. Для этого использовали пирометры полного излучения РАПИР с телескопами ТЕРЛ-50. Пять пирометров стационарно устанавливали и направляли на факел через водоохлаждаемые фурмы, заложенные в задней стенке печи. Установка пирометров со стороны задней стенки печи позволила проводить опыты в течение всей плавки.

Для измерения тепловых потоков использовали термозонд ВНИИМТ, который вводили в рабочее пространство печи через гляделки завалочных окон.

Для более полного изучения радиационных характеристик факелов были определены степени их черноты и шмидтовскне температуры. Величины вф определяли в четырех точках по длине рабочего пространства печи.

Тепловые потоки измеряли остроугольным радиационным пирометром.

При градуировке торцового радиометра одновременно с определением величин момент отключения мазута отбирали пробы газов из рабочего пространства печи. Химический анализ этих проб показал, что поглощающие компоненты печной атмосферы не могут сколько-нибудь заметно повлиять на результаты градуировки (содержание СО2 <0,1%).

Характер зависимости тк и тч от показаний радиометра оказался примерно одинаковым для всех исследованных печей.

16. Исследование радиационных характеристик факела

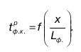
Температура горения факела:

где LРф.к.– длина факела M;

x– влагосодержание мазута, кг/кг.

Получено при отоплении печей газифицированным мазутом.

На печах, отапливаемых газифицированным мазутом, получаются высокие значения вф. Это может быть объяснено интенсивным сажевыделением в процессе окислительного крекинга мазута, а также большей толщиной излучающего слоя факела. В первой половине рабочего пространства печи степень черноты находится в пределах еф = 0,7-0,95 и изменяется по длине факела относительно мало. Вблизи середины рабочего пространства еф резко уменьшается и в конце его достигает наименьших значений (еф = 0,13-0,18).

Четко заметное влияние марки мазута на радиационные характеристики факела удалось наблюдать на двух-канальной мазутной печи. Увеличение вязкости мазута сопровождалось повышением значений еф по всей длине печи. Так, при использовании мазута марки 40 против второго завалочного окна по ходу факела величина еф = 0,67, а при сжигании мазута марки 80 еф = 0,76. При увеличении номера марки мазута повышалась и теплоотдача.

Стойкость печи также связана с вязкостью мазута, так как при повышении вязкости максимальная температура факела в конце рабочего пространства понижалась.

Согласно визуальным наблюдениям при отоплении печи высоковязким мазутом светимость факела сохраняется до 2/3 длины рабочего пространства, значительно меньше пенится шлак и быстрее нагревается металл.

При отоплении двухканальной печи мазутом марки 80 в качестве распылителя использовали перегретый пар под давлением 11 атм и компрессорный воздух под давлением 5,5-6,0 атм. В случае распыления мазута компрессорным воздухом наблюдали некоторое увеличение степени черноты факела, а также qфк.

  • Читать дальше
  • 1
  • ...
  • 3
  • 4
  • 5
  • 6
  • 7
  • 8
  • 9
  • 10
  • 11
  • 12
  • 13
  • ...

Private-Bookers - русскоязычная библиотека для чтения онлайн. Здесь удобно открывать книги с телефона и ПК, возвращаться к сохраненной странице и держать любимые произведения под рукой. Материалы добавляются пользователями; если считаете, что ваши права нарушены, воспользуйтесь формой обратной связи.

Полезные ссылки

  • Моя полка

Контакты

  • help@private-bookers.win