Теория статистики
вернуться

Бурханова Инесса Викторовна

Шрифт:

В индексе физического объема сомножитель индексируемого показателя берется на уровне базисного периода.

Абсолютное изменение физического объема вычисляется как разность между числителем и знаменателем индекса еq1p0– еq0p0.

Если индексы вычисляются за несколько периодов, то для всех них могут быть приняты одни и те же веса – индексы с постоянными весами, или же для каждого периода свои веса – индексы с переменными весами.

Теоретически возможны четыре типа индексов.

1. Общие базисные индексы цен с постоянными (базисными) весами:

2. Общие базисные индексы цен с переменными (отчетными) весами:

3. Общие цепные индексы цен с постоянными весами:

4. Общие цепные индексы цен с переменными весами:

В этих индексах отражается как изменение цен за ряд последовательных периодов, так и изменение структуры реализованных товаров.

Для характеристики изменения цен по сравнению с начальным периодом без учета изменений в структуре произведенных товаров применяют общие базисные индексы с постоянными весами, в тех же целях, но с учетом изменения структуры – базисные индексы с переменными весами. Для определения изменения цен каждого периода по сравнению с предыдущим без учета изменений в структуре проданных товаров применяют цепные индексы с постоянными весами, с учетом изменений в структуре – цепные индексы с переменными весами.

Выбор периода взвешивания индексов зависит от того, какие индексы вычисляются: индексы количественных (объемных) или качественных показателей.

43. Другие агрегатные индексы: индекс себестоимости продукции, индекс производительности труда, индекс трудоемкости

1. Индекс себестоимости продукции показывает, во сколько раз себестоимость в отчетном периоде в среднем выше или ниже базисной или плановой себестоимости, а также абсолютный размер экономии или перерасхода в результате изменения себестоимости. Индекс себестоимости – это индекс качественных показателей и исчисляется по весам (объему) продукции отчетного периода:

где z1– себестоимость единицы продукции в отчетном периоде;

z0– себестоимость единицы продукции в базисном (или плановом) периоде;

q1 – количество продукции в отчетном периоде.

2. Индекс производительности труда. Производительность труда определяется количеством продукции, произведенной в единицу времени, или затратами рабочего времени на производство единицы продукции. Для определения изменения производительности труда в отчетном периоде по сравнению с базисным нужно затраты рабочего времени на производство единицы продукции в базисном периоде (t0)разделить на затраты рабочего времени на производство единицы продукции в отчетном периоде (t1).

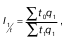
Индивидуальный индекс производительности труда равен:

Для построения агрегатного индекса производительности труда необходимо затраты рабочего времени на производство одной единицы продукции взвесить на количество продукции, произведенной в отчетном периоде:

где t1q1 – фактические затраты времени на производство всей продукции в отчетном периоде;

t0q1показывает, сколько времени потребовалось затратить на производство всей продукции отчетного периода в базисном периоде.

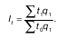
3. Индекс трудоемкости характеризует модификацию трудоемкости единицы продукции в отчетном периоде по сопоставлению с базисным. Величина индекса трудоемкости обратно пропорциональна величине индекса производительности труда, вычисленной по затратам времени на производство единицы продукции. Формула индивидуального индекса:

а агрегатного:

Индекс трудоемкости – это индекс качественных показателей, и рассчитывается он также по весам отчетного периода.

44. Другие агрегатные индексы: индекс выполнения плана, среднеарифметический и среднегармонический индекс, индексысредних величин

1. Индекс выполнения плана. При его вычислении фактические данные сопоставляются с плановыми, причем весами индекса могут быть показатели плановые и фактические.

2. Среднеарифметический и среднегармониче-ский индексы.

Агрегатные индексы цен, физического объема товарооборота и другие могут быть рассчитаны, если известны индексируемые величины и веса, т. е. p и q. Допустим, что имеется произведение pq и индивидуальные индексы. Возникает проблема построения средних индексов, идентичных агрегатным, путем осреднения индивидуальных индексов.

  • Читать дальше
  • 1
  • ...
  • 18
  • 19
  • 20
  • 21
  • 22
  • 23
  • 24
  • 25
  • 26
  • 27
  • 28
  • ...

Private-Bookers - русскоязычная библиотека для чтения онлайн. Здесь удобно открывать книги с телефона и ПК, возвращаться к сохраненной странице и держать любимые произведения под рукой. Материалы добавляются пользователями; если считаете, что ваши права нарушены, воспользуйтесь формой обратной связи.

Полезные ссылки

  • Моя полка

Контакты

  • help@private-bookers.win