Теория-В
вернуться

Кострова Ирина Владимировна

Шрифт:

Формулы свёртывания динамических энергий и восстановления интеллектуальных энергий во Вселенной будут чуть позже.

3.3. Описание Пути развития Вселенной

15.11.94

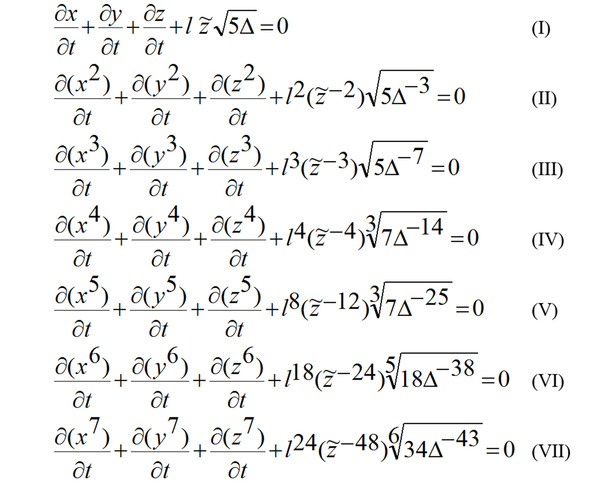
Дифференциальные уравнения, описывающие раскрытие потенции и процессы «свёртывания» энергий аналогичны. Их общее количество — семь, как и количество уровней Мысли Творца. Для каждого уровня Мысли своё уравнение. Напомним уровни Мысли Творца, семь уровней Материи Мысли по мере возрастания уровня Иерархии:

1. тяжёлые изотопы;

2. лёгкие изотопы;

3. твёрдые тела определённых форм;

4. лёгкие металлы во взвешенном (газообразном) состоянии, некоторые виды жидкостей известных;

5. газ инертный, взвесь частиц воды, «песчинки Мироздания»;

6. газ межзвёздной среды, включающий гелий и немного водорода;

7. газ лёгкий, прозрачный абсолютно, неизвестных свойств для вас. Заметим, что высший уровень — седьмой.

Степень переменных тем выше, чем выше уровень Материи Мысли Творца. Таким образом, имеем следующие уравнения по мере возрастания уровня ие­рархии Мысли:

В формулах введены следующие обозначения:

д (хi) /дt, д (хi) /дt, д (хi) /дt — полные дифференциалы «много­мерных пространств»: соответственно, пространства (трёхмерное), вре­мени (двумерное) и энергии (одномерное) за 1 ступень преобразования (для всех i от 1 до 7).

х — обозначение пространства пространства (в километрах).

у — обозначение пространства времени (в секундах).

z — обозначение Энергии Психотерраинкогнито третьего уровня, вы­рабатываемой внутри Вселенной.

l — «точка расхождения» Энергии Психотерраинкогнито второго уров­ня. Определяет степень воздействия на среду обитания: тем выше его степень, чем шире круг пути. Круг пути тем шире, чем выше уровень Мысли Творца.

~

z — то же Энергия Психотерраинкогнито уровней внешних Иерар­хов, т.е. для вас первого уровня и, быть может, в отдельных случаях энергия «0-го» уровня (аннигиляция системы).

Одна ступень развития — это длина пути между двумя точками сигнатуры Круга Жизни (круга развития).

Для t> 0 путь dt означает шаг развития.

Для t <0 путь dt означает шаг свёртывания.

Для t=0 — это точка сигнатуры Круга Жизни, здесь времени нет, это трансцендентная область мгновенного «затишья перед бурей».

Чем ниже уровень Мысли Творца Вселенной (уровень воплощения), тем выше Энергия Психотерраинкогнито первого уровня, и наоборот, чем выше уровень Мысли Творца — тем она слабее.

Заметим следующее:

z измеряется в квантах информации центрального светила развивающейся системы (в нашем случае — Вселенной, Солнечной галактики);

~

z измеряется в квантах информации внешнего (руководящего) светила. Порядок светила для вас неопределён, но позволяет как раз перевести неизвестные вам кванты в кванты известного вам центрального светила вашей Вселенной;

 — элементы случайности разного порядка;

, 3, 5, 6 — степени радикала, определяют мощь взрыва для пе­рехода к следующему уровню развития Вселенной соответствующей субстанции Материи Мысли, либо переход на новую ступень.

Итак, семь дифференциальных уравнений для описания изменяющегося во времени состояния Вселенной на Пути её развития при t -> + и свёртывания при t -> –, На самом деле время всегда положительно, но направление его изменения (вектор) меняет ориентацию системы.

Эти уравнения справедливы для первого и седьмого цикла (ступени) развития Вселенной. Для остальных систем уравнений (соответствующих ступеням с третьей по шестую) точки отсчёта иные, начальные условия иные, но формы их аналогичны, хотя и не тождественны. Отличие — в при­сутствии некоторых констант, отличных от единицы, перед каждым членом уравнения, включая и последний. Но для последнего члена эта константа имеет особый смысл. Смысл её заключается в вытягивании времени и закру­чивании пространства существования энергетических субстанций.

Замечания:

1. «Круг» — любая замкнутая во времени протяжённость изменения субстанции «энергия» (цикл преобразования).

2. Сигнатура — от лат. signature, signare — обозначать, указывать.

1) Копия рецепта врача (след информации о Замысле Целителя Вселенной), прилагаемая аптекой к лекарству (описание полного состава входящих компонент, формы существования материи и её предназначение!) (Заповеди блаженств).

2) Порядковый номер каждого печатного листа книги, помещае­мый на первой и третьей его страницах для контроля при брошюро­вочных работах (Книга Жизни. В ней печатный лист — Виток Спирали развития Вселенной).

  • Читать дальше
  • 1
  • ...
  • 9
  • 10
  • 11
  • 12
  • 13
  • 14
  • 15
  • 16
  • 17
  • 18
  • 19
  • ...

Private-Bookers - русскоязычная библиотека для чтения онлайн. Здесь удобно открывать книги с телефона и ПК, возвращаться к сохраненной странице и держать любимые произведения под рукой. Материалы добавляются пользователями; если считаете, что ваши права нарушены, воспользуйтесь формой обратной связи.

Полезные ссылки

  • Моя полка

Контакты

  • help@private-bookers.win