Регионоведение
вернуться

Сибикеев Константин

Шрифт:

В региональных исследованиях широко применяется индексный метод. Для количественного определения уровня специализации экономического районирования используются коэффициент локализации, коэффициент душевого производства и коэффициент межрайонной товарности.

3. Коэффициент локализации, коэффициент производства продукции района на душу населения, коэффициент межрайонной товарности

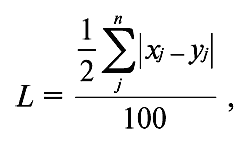
Коэффициент локализации данного производства (L) представляет собой отношение удельного веса данной отрасли в структуре производства к удельному весу той же отрасли в стране.

Его расчет производится по валовой товарной продукции, основным промышленным фондам и численности промышленно-производственного персонала.

где хj – доля j-гo региона в общем объеме факторного признака;

уj – доля j-гo региона в общем объеме результативного явления (в данном случае товарооборота);

n – число j-х регионов.

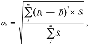
Коэффициент душевого производства исчисляется как отношение удельного веса отрасли хозяйства региона в соответствующей структуре отрасли страны к удельному весу населения региона в населении страны.

где Dj – товарооборот на душу населения j-го региона;

D — средний товарооборот на душу населения по всем регионам;

Sj – численность населения j-го региона;

m – число j-х регионов.

Коэффициент региональной товарности (КМт) рассчитывается как отношение вывоза из региона данной продукции к ее региональному производству.

где Pij, – цена i-го товара в j-м регионе;

S – численность жителей j-го региона;

n – число i-х товаров;

m – число j-х регионов.

Если расчетные показатели больше или равны единице, то такая отрасль является отраслью рыночной специализации района.

4. Показатели, определяющие эффективность специализации районов

Одним из важнейших критериев размещения отраслей хозяйства на конкретной территории экономического района является показатель их экономической эффективности. Для определения экономической эффективности принят главный критерий получения намеченных объектов продукции с наименьшими затратами. В качестве показателей эффективности размещения производств принимаются себестоимость продукции с учетом ее доставки потребителю, удельные капиталовложения на единицу мощности и прибыль.

Наряду с этими показателями по каждой отрасли производства района разрабатывается система технико-экономических показателей ее размещения Эта система включает:

1) удельные расходы основных видов сырья, топлива, энергии, воды на единицу продукции;

2) выход производственных отходов на единицу продукции;

3) трудовые затраты на единицу продукции;

4) удельные затраты основных фондов. Использование показателей эффективности рационального размещения производств в районе способствует установлению оптимальных пропорций между ними.

Важнейшим методом исследования в регионоведении является системный анализ, позволяющий изучать комплексное развитие района, внутренние связи и их взаимодействие. Системный анализ – это всесторонний анализ, использующий принцип поэтапности начиная от постановки цели, определения задач, формулировки научной гипотезы, всестороннего изучения особенностей оптимального варианта размещения производства. При этом критерием является наибольшее удовлетворение потребностей населения. В настоящее время, особенно в период становления рыночных отношений, проблемы размещения становятся все более сложными, а отраслевые и территориальные связи – все более трудно управляемыми. Поэтому возникает необходимость в применении нового метода исследования – экономико-математического моделирования. Этот метод позволяет определить территориальные пропорции развития экономики России, составить модель оптимального размещения отраслей хозяйства, составить модель формирования хозяйственных комплексов регионов. Использование этого метода с применением ЭВМ дает возможность с минимальными затратами труда и времени обрабатывать огромные массивы исходных данных и выбирать оптимальные решения в соответствии с поставленной целью.

5. Задачи научной дисциплины «Регионоведение»

Важнейшей задачей регионоведения является разработка теоретических основ формирования и развития экономических районов в условиях становления и развития рыночных отношений, разработка программ развития экономических районов в условиях рынка.

При этом главными ориентирами, особенно в развитии предпринимательства, создании социальной инфраструктуры, охране и рациональном использовании природных ресурсов, являются:

1) учет специфики каждого региона в осуществлении структурной, инвестиционной, финансовой, социальной, внешнеэкономической перестройки;

2) перенос основных направлений рыночных реформ на региональный уровень.

Одной из задач в проведении региональных экономических реформ являются разработка мер по пространственной интеграции экономики России, создание механизма вертикальных и горизонтальных взаимодействий органов управления, разработка мероприятий по преодолению распада межрегиональных хозяйственных связей, сохранению единого рыночного пространства.

  • Читать дальше
  • 1
  • 2
  • 3
  • 4
  • 5
  • 6
  • 7
  • ...

Private-Bookers - русскоязычная библиотека для чтения онлайн. Здесь удобно открывать книги с телефона и ПК, возвращаться к сохраненной странице и держать любимые произведения под рукой. Материалы добавляются пользователями; если считаете, что ваши права нарушены, воспользуйтесь формой обратной связи.

Полезные ссылки

  • Моя полка

Контакты

  • help@private-bookers.win